0
Skip to Content
Allied Health Career Training
Make a Payment
Faculty/Staff Resources
LPN Program Resources
Find Your BLS Card
Help Desk
Reading Test
Our Story
Blog
View All Courses
Advanced Cardiac Life Support (ACLS)
CNA - Certified Nurse Aide
CMA - Certified Medication Aide
CNA State Certification Exam
CNA Remediation Course
CMA Update
CNA Recertification Skills Checklist
Basic Life Support (CPR)
Anatomy & Physiology
Human Growth & Development
Medical Terminology
LPN
IV Therapy
Phlebotomy
EKG Technician
Medical Assistant
Adult Care Home Operators
HHA - Home Health Aide
Medical Administrative Assistant
Pharmacy Technician
DOT Specimen Collection
Social Service Designee/Activities Director
Restorative Aide
Patient Care Worker
Study Vital Signs
Study Abbreviations
Study Top 200 Drugs
Order of Draw Flash Cards
Order of Draw Matching Game
Study Medical Terminology
CNA Final Exam Quizlet Flash Cards
ResusMonitor
Canvas Login
Elsevier Login
NHA Login
Enrollment Account Login
Allied Health Career Training
Make a Payment
Faculty/Staff Resources
LPN Program Resources
Find Your BLS Card
Help Desk
Reading Test
Our Story
Blog
View All Courses
Advanced Cardiac Life Support (ACLS)
CNA - Certified Nurse Aide
CMA - Certified Medication Aide
CNA State Certification Exam
CNA Remediation Course
CMA Update
CNA Recertification Skills Checklist
Basic Life Support (CPR)
Anatomy & Physiology
Human Growth & Development
Medical Terminology
LPN
IV Therapy
Phlebotomy
EKG Technician
Medical Assistant
Adult Care Home Operators
HHA - Home Health Aide
Medical Administrative Assistant
Pharmacy Technician
DOT Specimen Collection
Social Service Designee/Activities Director
Restorative Aide
Patient Care Worker
Study Vital Signs
Study Abbreviations
Study Top 200 Drugs
Order of Draw Flash Cards
Order of Draw Matching Game
Study Medical Terminology
CNA Final Exam Quizlet Flash Cards
ResusMonitor
Canvas Login
Elsevier Login
NHA Login
Enrollment Account Login
Folder: Resources
Back
Make a Payment
Faculty/Staff Resources
LPN Program Resources
Find Your BLS Card
Help Desk
Reading Test
Our Story
Blog
Folder: Courses
Back
View All Courses
Advanced Cardiac Life Support (ACLS)
CNA - Certified Nurse Aide
CMA - Certified Medication Aide
CNA State Certification Exam
CNA Remediation Course
CMA Update
CNA Recertification Skills Checklist
Basic Life Support (CPR)
Anatomy & Physiology
Human Growth & Development
Medical Terminology
LPN
IV Therapy
Phlebotomy
EKG Technician
Medical Assistant
Adult Care Home Operators
HHA - Home Health Aide
Medical Administrative Assistant
Pharmacy Technician
DOT Specimen Collection
Social Service Designee/Activities Director
Restorative Aide
Patient Care Worker
Folder: Study Tools
Back
Study Vital Signs
Study Abbreviations
Study Top 200 Drugs
Order of Draw Flash Cards
Order of Draw Matching Game
Study Medical Terminology
CNA Final Exam Quizlet Flash Cards
ResusMonitor
Folder: Login
Back
Canvas Login
Elsevier Login
NHA Login
Enrollment Account Login
Progress
Certified Nurse Aide
Complete & Continue Next Lesson Learn More
Introduction
8 Lessons
Welcome to Allied Health Career Training
CNA State Exam Information
CNA Study Guide and Curriculum
Introduction to Medical Terminology
Abbreviations
Medical Terms
Terminology and Abbreviations Quizlet
Clinical Expectations
Unit 1
3 Lessons
Introduction
Changing Minds: An Introduction to Person-Centered Care
Prohibited Offenses
Unit 2
6 Lessons
Residents of an Adult Care Home
What is old?
Maslow's Hierarchy of Needs
Basic Human Needs
Resident Rights
Basic Concepts for Cultural Awareness
Unit 3
3 Lessons
Roles and Responsibilities of CNA
A Day In The Life of a CNA
CNA Position Description
Unit 4
5 Lessons
Communication - Meeting Residents' Needs
Validation Therapy - Communicating and Dementia
Non-verbal vs. Verbal Communication
Assertive vs. Aggressive
Teepa Snow
Unit 5
8 Lessons
Infection Prevention and Control
Fight Germs, Wash Your Hands!
Infection in the Facility
Personal Protective Equipment (PPE)
Donning and Removing PPE
MSA: Infection Myths and Truths
Vancomycin-resistant Enterococci (VRE) in Healthcare Environments
Cdiff
Unit 6
8 Lessons
Mobility
Mobility Videos
King Mobility Video
Lift Memo
Pressure Ulcers
Dangling
Full Body Lift
Sit-to-stand Lift
Unit 7
2 Lessons
The Resident's Personal Living Space
How to Make an Occupied Bed
Unit 8
7 Lessons
Safety
Safety Techniques
FAQ From the Fire Marshall
R.A.C.E
How to Use a Portable Fire Extinguisher
Abdominal Thrust
Strategies for Dealing with a Potential Elopement
Unit 9
1 Lesson
Personal Care and Grooming
Unit 10
1 Lesson
Nutrition and Hydration
Unit 11
1 Lesson
Elimination
Unit 12
5 Lessons
Vital Signs
Oxygen Saturation
Pain
Blood Pressure
Measuring Height and Weight
Unit 13
1 Lesson
Resident Care Plans and The Nursing Process
CNA Exam 1
1 Lesson
CNA Exam 1
Unit 14
1 Lesson
Observing, Reporting, and Documenting
Unit 15
13 Lessons
Eyes/Vision
Ears/Hearing
Parkinson's Disease
Pacemaker and Internal Defibrillator
Heart Attack/Failure Symptoms
Chronic Obstructive Pulmonary Disease (COPD) Symptoms
Blood Pressure
Cerebrovascular Accident (CVA/Stroke)
Genitourinary System Changes
Endocrine system - Diabetes and Thyroid Diseases
Changes in Skin
Muscular / Skeletal System Changes
Lou Gehrig's Disease (ALS/Amyotrophic Lateral Sclerosis)
Unit 16
1 Lesson
Sexuality in Aging
Unit 17
1 Lesson
Sleep, Rest, and Comfort
Unit 18
1 Lesson
End of Life/Stages of Grief
Unit 19
5 Lessons
Alternative Fluid and Nutrition Intake
Alternative Urinary Elimination
Restoring Bowel Function
Ostomies
Bladder and Bowel Continence
Unit 20
1 Lesson
Restorative Care
Unit 21
1 Lesson
Dementia
Unit 22
1 Lesson
Resident Care Procedures
Unit 23
1 Lesson
Admission/Discharge
Unit 24
1 Lesson
First Aid in Long Term Care
Unit 25
2 Lessons
Working as a CNA
The Survey
CNA Final Exam
2 Lessons
Leave a Google Review
CNA Final Exam
Certified Nurse Aide
Complete & Continue Next Lesson Learn More
Unit 6

Lift Memo

Complete & Continue Next Lesson Learn More
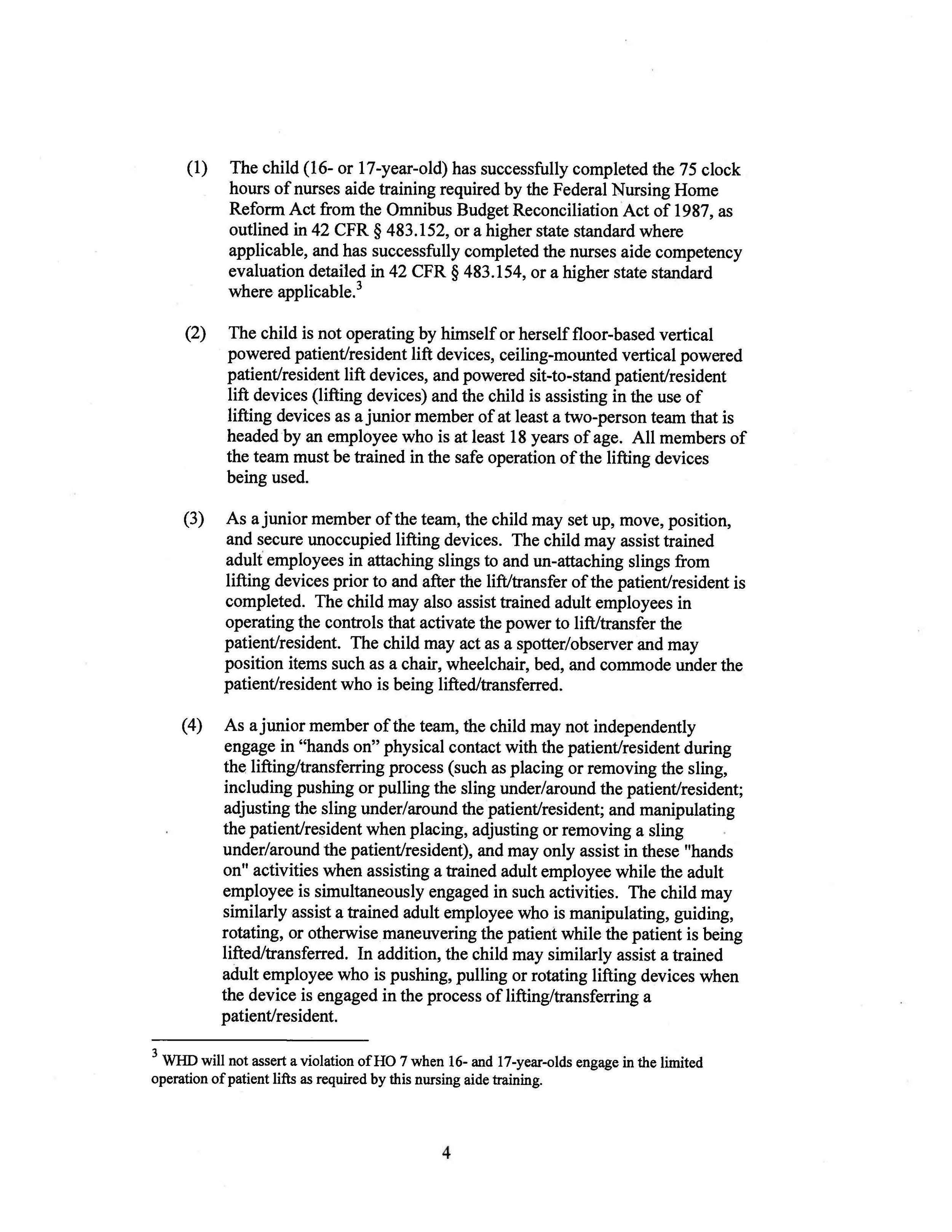
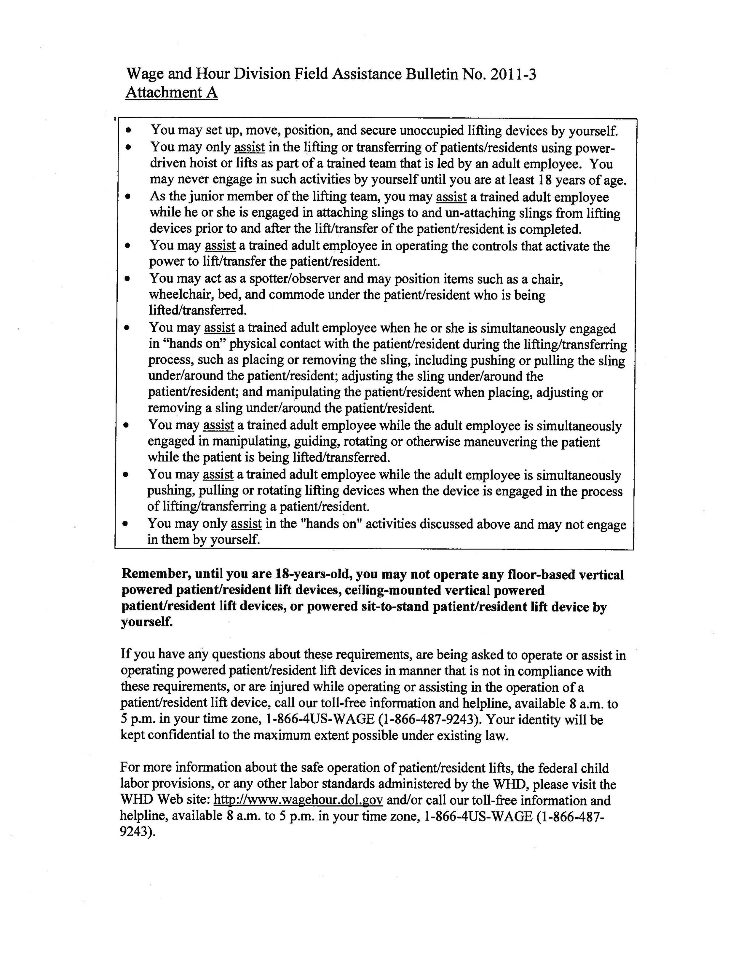
View fullsize lift_memo_Page_6.jpg
View fullsize lift_memo_Page_7.jpg
View fullsize lift_memo_Page_5.jpg
View fullsize lift_memo_Page_3.jpg
View fullsize lift_memo_Page_4.jpg
View fullsize lift_memo_Page_1.jpg
View fullsize lift_memo_Page_2.jpg

ALLIED HEALTH CAREER TRAINING, LLC | 1217 West Douglas Ave | Wichita, KS 67213

877-376-8593 info@alliedhealthcareertraining.com


Administrative Hours: Monday through Friday, 9:00 a.m. to 4:00 p.m.

Please Note: Classes may start and end outside of these times. Please check course schedules.

Privacy